- Reaction score
- 2,249
@losingbattle88 RU breedable?
it is very possibleMy estimate is that you will not last more than 3 months on that regimen.
Everybody gangsta until their face starts looking submissive and breedable.
I want a study where testosterone action was evaluated on the hair follicle...can't just assume "it's testosterone".Testosterone. Weaker androgen but still an androgen.
explain why botox injection in the scalp increases hair count by 18%.It lost me at scalp tension lol
Note the author of this article also charges $147 to access his forum and $297 for personal “coaching”.I want a study where testosterone action was evaluated on the hair follicle...can't just assume "it's testosterone".
Read this article. It talks about how androgens can't be the only thing that's the cause of hairloss but rather a complex system (where DHT stillhas weight on being a component causative of hairloss)
View attachment 180499
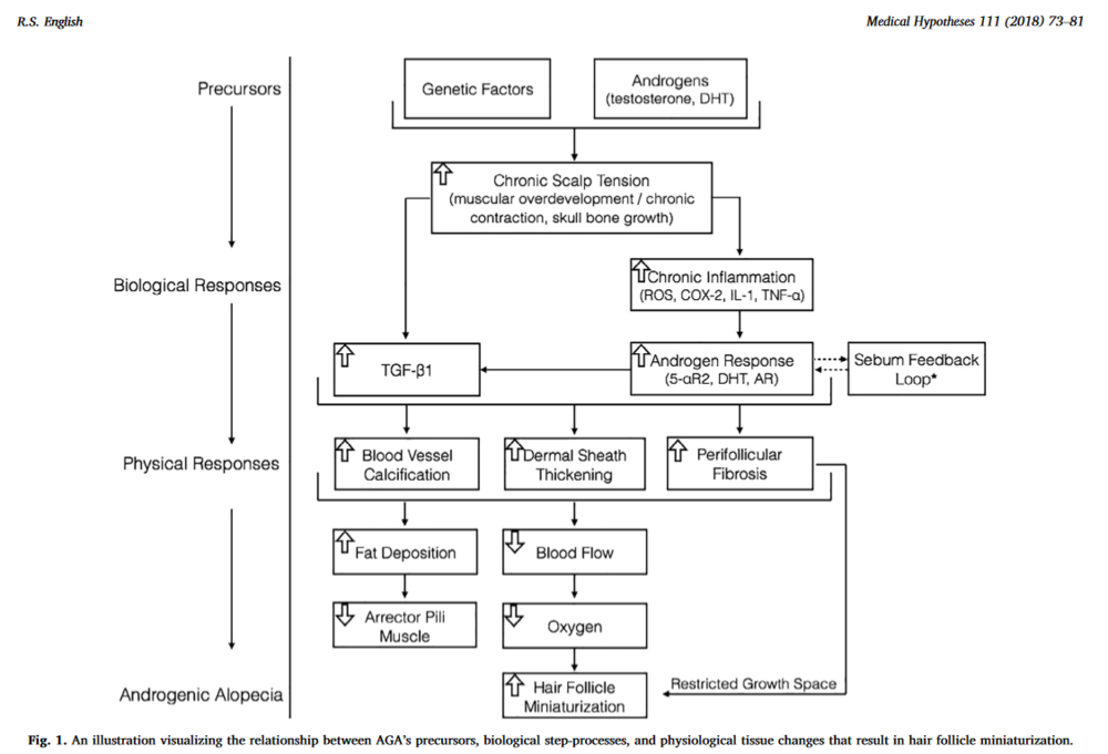
A hypothetical pathogenesis model for androgenic alopecia: clarifying thedihydrotestosterone paradox and rate-limiting recovery factors
Lmao. Stfu you blüdflow motherfuckerexplain why botox injection in the scalp increases hair count by 18%.
I didnt even mention bloodflow but pressure... cope and seethe
Ok, don't buy it. Do you need someone to tell you that? lmaoNote the author of this article also charges $147 to access his forum and $297 for personal “coaching”.
Shill.Ok, don't buy it. Do you need someone to tell you that? lmao
what a waste of internet dataShill.
The chart you posted did, incel lolI didnt even mention bloodflow but pressure... cope and seethe
and you are angry because you can't understand the chart so you just seethe... Okay lolThe chart you posted did, incel lol
Not angry, just don’t give a f*** about you. You could have been one of the fucks who got killed in the mass shooting, I wouldn’t care loland you are angry because you can't understand the chart so you just seethe... Okay lol
incel lol - GourmetStyleWellness virgin
He’s a shillcelShill.
Good luck getting any girl to acknowledge your bald f*** existence. You would give your useless and unused junk for 18% hair count increase.What’s there to understand, lol? Bludfloe n scalp tension lmao. Good luck with your headstands and nooru massages, incel
Said by useless cu nt who doesn't understand that scalp pressure is partly responsible for hf calcification and tgf-b1 increase but he is so dumb and doesn't understand what's being talking about so he just repeats bloodflow because that's sll his little brain can storeWhat’s there to understand, lol?
